给定一个二叉树的根节点 root ,返回它的 中序 遍历。
示例 1:

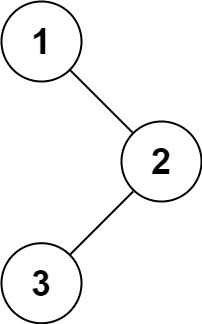
1 2
| 输入:root = [1,null,2,3] 输出:[1,3,2]
|
示例 2:
示例 3:
示例 4:

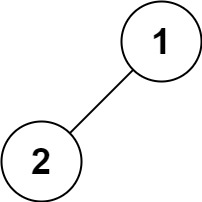
1 2
| 输入:root = [1,2] 输出:[2,1]
|
示例 5:

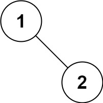
1 2
| 输入:root = [1,null,2] 输出:[1,2]
|
提示:
- 树中节点数目在范围
[0, 100] 内
-100 <= Node.val <= 100
中序递归
递归方法很简单,在这里不再赘述其原理:
1 2 3 4 5 6 7 8 9 10 11 12 13 14 15
| public class Solution {
public List<Integer> inorderTraversalRec(TreeNode root) { List<Integer> ans = new ArrayList<>(); dfs(root, ans); return ans; }
private void dfs(TreeNode root, List<Integer> ans) { if (root == null) return; dfs(root.left, ans); ans.add(root.val); dfs(root.right, ans); } }
|
复杂度分析:
中序迭代
此方法与递归在时间,空间上来说没多大优势,但解决了递归深度如果过高时会栈溢出的风险。

1 2 3 4 5 6 7 8 9 10 11 12 13 14 15 16 17
| public class Solution2 { public List<Integer> inorderTraversal(TreeNode root) { List<Integer> ans = new ArrayList<>(); Deque<TreeNode> stack = new LinkedList<>(); while (root != null || !stack.isEmpty()) { while (root != null) { stack.offerLast(root); root = root.left; } root = stack.pollLast(); assert root != null; ans.add(root.val); root = root.right; } return ans; } }
|
复杂度分析:
空间复杂度: O(N)
时间复杂度: O(N)
中序 Morris
Morris 遍历跟上述两种方法不同点在于,不需要递归或者临时的栈空间来辅助完成中序遍历,空间复杂度: 常数级别, O(1)。
但是为了解决从 child 树 到 parent 树,需要临时修改树的结构,也就是说会失去树本身带来的数据结构优势,仅仅是为了完成遍历,所带来的缺陷,但不要着急,用完以后将指针还原即可
为了更好的理解原理笔者代码整个遍历的过程中值需要当前 cur 和 临时 predecessor 2个指针, 具体步骤如下:
如果左子树节点为空, 将当前节点 val 添加到结果集 res 中,cur 指向其右子树 right 节点 (cur = cur.right)
如果左子树不为空, 遍历左子树的最右侧 right 子节点 (predecessor),在寻找的过程中会出现以下 2 种之一场景:
- predecessor.right 为空时,将 right 指针指向 cur 节点, cur 指向其左子树节点 (cur = cur.leftcur=cur.left)
- predecessor.right 不为空时, 表示原来的叶子节点连接已经存在(已经遍历完 cur.left)
- 将 predecessor.right = null
- cur 节点 val 添加到结果集 res 中 res.add(cur.val)
- cur 指向 其 right 节点 (cur = cur.right)
重复以上 2 步直到 cur 节点为空
1 2 3 4 5 6 7 8 9 10 11 12 13 14 15 16 17 18 19 20 21 22 23 24 25 26 27 28 29 30 31 32 33 34 35 36 37 38 39 40 41 42 43 44 45 46 47 48 49
| class Solution { public List<Integer> inorderTraversal(TreeNode root) {
List<Integer> res = new ArrayList<>();
if (root == null) { return res; }
TreeNode cur = root;
while(cur != null) {
if(cur.left == null) { res.add(cur.val); cur = cur.right; } else {
TreeNode predecessor = cur.left; while (predecessor.right != null && predecessor.right != cur) { predecessor = predecessor.right; }
if (predecessor.right == null) { predecessor.right = cur; cur = cur.left; } else { res.add(cur.val); predecessor.right = null; cur = cur.right; } } }
return res; } }
|
复杂度分析: