144. 二叉树的前序遍历
给你二叉树的根节点 root ,返回它节点值的 前序 遍历。
示例 1:

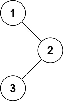
1 | 输入:root = [1,null,2,3] |
示例 2:
1 | 输入:root = [] |
示例 3:
1 | 输入:root = [1] |
示例 4:

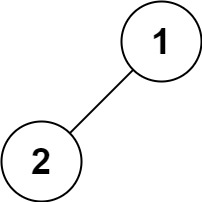
1 | 输入:root = [1,2] |
示例 5:

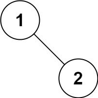
1 | 输入:root = [1,null,2] |
提示:
- 树中节点数目在范围
[0, 100]内 -100 <= Node.val <= 100
方法一:递归
思路与算法
首先我们需要了解什么是二叉树的前序遍历:按照访问根节点——左子树——右子树的方式遍历这棵树,而在访问左子树或者右子树的时候,我们按照同样的方式遍历,直到遍历完整棵树。因此整个遍历过程天然具有递归的性质,我们可以直接用递归函数来模拟这一过程。
定义 preorder(root) 表示当前遍历到 root 节点的答案。按照定义,我们只要首先将 root 节点的值加入答案,然后递归调用 preorder(root.left) 来遍历 root 节点的左子树,最后递归调用 preorder(root.right) 来遍历 root 节点的右子树即可,递归终止的条件为碰到空节点。
1 | class Solution { |
复杂度分析
时间复杂度:O(n),其中 nn 是二叉树的节点数。每一个节点恰好被遍历一次。
空间复杂度:O(n),为递归过程中栈的开销,平均情况下为 O(logn),最坏情况下树呈现链状,为 O(n)。
方法二:迭代
思路与算法
我们也可以用迭代的方式实现方法一的递归函数,两种方式是等价的,区别在于递归的时候隐式地维护了一个栈,而我们在迭代的时候需要显式地将这个栈模拟出来,其余的实现与细节都相同,具体可以参考下面的代码。
1 | public class Solution2 { |
复杂度分析
时间复杂度:O(n),其中 nn 是二叉树的节点数。每一个节点恰好被遍历一次。
空间复杂度:O(n),为迭代过程中显式栈的开销,平均情况下为 O(logn),最坏情况下树呈现链状,为 O(n)。
方法三:Morris 遍历
思路与算法
可以在线性时间内,只占用常数空间来实现前序遍历。这种方法由 J. H. Morris 在 1979 年的论文「Traversing Binary Trees Simply and Cheaply」中首次提出,因此被称为 Morris 遍历。
Morris 遍历的核心思想是利用树的大量空闲指针,实现空间开销的极限缩减。其前序遍历规则总结如下:
新建临时节点,令该节点为 root;
如果当前节点的左子节点为空,将当前节点加入答案,并遍历当前节点的右子节点;
如果当前节点的左子节点不为空,在当前节点的左子树中找到当前节点在中序遍历下的前驱节点:
- 如果前驱节点的右子节点为空,将前驱节点的右子节点设置为当前节点。然后将当前节点加入答案,并将前驱节点的右子节点更新为当前节点。当前节点更新为当前节点的左子节点。
- 如果前驱节点的右子节点为当前节点,将它的右子节点重新设为空。当前节点更新为当前节点的右子节点。
重复步骤 2 和步骤 3,直到遍历结束。
这样我们利用 Morris 遍历的方法,前序遍历该二叉树,即可实现线性时间与常数空间的遍历。
1 | public class Solution3 { |
复杂度分析
时间复杂度:O(n),其中 n 是二叉树的节点数。没有左子树的节点只被访问一次,有左子树的节点被访问两次。
空间复杂度:O(1)。只操作已经存在的指针(树的空闲指针),因此只需要常数的额外空间。