给定二叉搜索树的根结点 root,返回值位于范围 [low, high] 之间的所有结点的值的和。
示例 1:

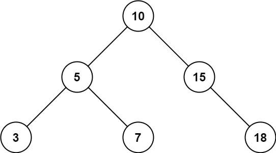
输入:root = [10,5,15,3,7,null,18], low = 7, high = 15
输出:32
示例 2:

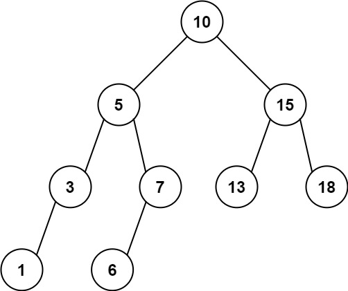
输入:root = [10,5,15,3,7,13,18,1,null,6], low = 6, high = 10
输出:23
提示:
树中节点数目在范围 [1, 2 * 104] 内
1 <= Node.val <= 105
1 <= low <= high <= 105
所有 Node.val 互不相同
方法一:深度优先搜索
思路
按深度优先搜索的顺序计算范围和。记当前子树根节点为 root,分以下四种情况讨论:
root 节点为空,返回 0。
root 节点的值大于high,由于二叉搜索树右子树上所有节点的值均大于根节点的值,即均大于high,故无需考虑右子树,返回左子树的范围和。
root 节点的值小于 low,由于二叉搜索树左子树上所有节点的值均小于根节点的值,即均小于 low,故无需考虑左子树,返回右子树的范围和。
root 节点的值在 [low, high] 范围内,此时应返回 root 节点的值、左子树的范围和、右子树的范围和这三者之和。
1 2 3 4 5 6 7 8 9 10 11 12 13 14 15
| public class Solution { public int rangeSumBST (TreeNode root, int low, int high) { if (root == null) { return 0; } if (root.val < low) { return rangeSumBST(root.right, low, high); } if (root.val > high) { return rangeSumBST(root.left, low, high); } return root.val + rangeSumBST(root.left, low, high) + rangeSumBST(root.right, low, high); } }
|
复杂度分析
- 时间复杂度:O(n),其中 n是二叉搜索树的节点数。
- 空间复杂度:O(n)。空间复杂度主要取决于栈空间的开销。
迭代写法
1 2 3 4 5 6 7 8 9 10 11 12 13 14 15 16 17 18 19 20 21 22 23 24 25
| public class Solution3 {
public int rangeSumBST(TreeNode root, int low, int high) { int ans = 0; Deque<TreeNode> stack = new LinkedList<>(); while (root != null || !stack.isEmpty()) { while (root != null) { stack.addLast(root); root = root.left; } root = stack.pollLast(); if (root.val > high) { break; } if (root.val >= low) { ans += root.val; } root = root.right; } return ans; } }
|
方法二:广度优先搜索
思路
使用广度优先搜索的方法,用一个队列 q 存储需要计算的节点。每次取出队首节点时,若节点为空则跳过该节点,否则按方法一中给出的大小关系来决定加入队列的子节点。
1 2 3 4 5 6 7 8 9 10 11 12 13 14 15 16 17 18 19 20 21 22 23 24 25 26
| public class Solution2 {
public int rangeSumBST(TreeNode root, int low, int high) { int ans = 0; Queue<TreeNode> queue = new LinkedList<>(); queue.offer(root); while (!queue.isEmpty()) { TreeNode node = queue.poll(); if (node == null) { continue; } if (node.val > high) { queue.offer(node.left); } else if (node.val < low) { queue.offer(node.right); } else { ans += node.val; queue.offer(node.left); queue.offer(node.right); } } return ans; } }
|
复杂度分析
- 时间复杂度:O(n),其中 n 是二叉搜索树的节点数。
- 空间复杂度:O(n)。空间复杂度主要取决于队列的空间。